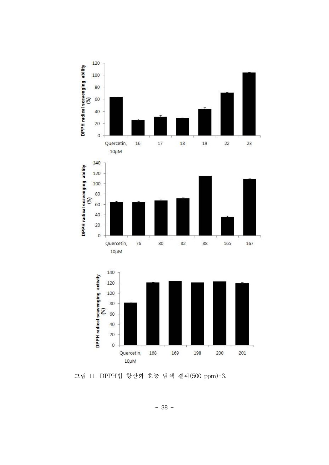
60쪽 확대 이미지